RUMUS CEPAT MATEMATIKA
- Barisan dan Deret -
Soal 1
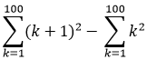
Nilai dari
= .....
A. 180
B. 190
C. 200
D. 210
E. 220
Jawab :Soal 2<< ----- INFO SMART ----- >>Rumus jumlah n suku pertama deret aritmatika adalah Sn = ½ n (2a + (n – 1)b Keterangan : n = banyaknya suku a = suku pertama b = beda<< ----- RUMUS CEPAT ----- >>Pertama --> Kita tentukan dahulu nilai awal dan akhir n = 1 n = 10 ↓ ↓ = (2(1) + 10) +....+ (2(10) + 10) = 12 +....+ 30 ( Nilai awal = 12 dan akhir = 30 ) Kedua --> Gunakan rumus cepatnya Jadi jawabannya adalah D. 210
Jawab :Soal 3<< ----- RUMUS CEPAT ----- >>Pertama --> Kita tentukan nilai awal dan akhir Soal diatas bisa diubah menjadik = 1 k = 100 ↓ ↓ = (2(1) + 1)+.....+(2(100) + 1) = 3 +.....+ 201 ( Nilai awal = 3 dan akhir = 201 ) Kedua --> Gunakan rumus cepatnya. Jadi jawabannya adalah A. 10200
Jawab :Soal 4<< ----- INFO SMART ----- >>Sn = pn2 + qn suatu deret aritmatika, maka beda = 2p<< ----- RUMUS CEPAT ----- >>Jadi jawabannya adalah B. 2
Jumlah n suku pertama deret aritmatika adalah Sn = 3n2 - 4n. Suku ke-n dari deret
tersebut adalah...
A. 3n - 8
B. 6n - 2
C. 6n - 5
D. 3n + 8
E. 6n - 7
Jawab :Soal 5<< ----- INFO SMART ----- >>Jumlah koefisien variable untuk jumlah n suku pertama sama dengan jumlah koefisien variabel untuk suku ke-n.<< ----- RUMUS CEPAT ----- >>1. Jumlahkan koefisiennya saja Sn = 3n2 - 4n = 3 + (-4) = -1 2. Pada pilihan jawaban, cari yang nilai koefisiennya = -1 A. 3n - 8 = 3 + (-8) = -5 --> Salah B. 6n - 2 = 6 + (-2) = 4 --> Salah C. 6n - 5 = 6 + (-5) = 1 --> Salah D. 3n + 8 = 3 + 8 = 11 --> Salah E. 6n - 7 = 6 + (-7) = -1 --> Benar Jadi jawabannya adalah E. 6n - 7
UAN 2003/P-1/No.10 Suatu keluarga mempunyai 6 anak yang usianya pada saat ini membentuk barisan aritmetika. Jika usia anak ke-3 adalah 7 tahun dan usia anak ke-5 adalah 12 th, maka jumlah usia enam anak tersebut adalah... A. 48.5 Tahun B. 49.0 Tahun C. 49.5 Tahun D. 50.0 Tahun E. 50.5 TahunJawab
<< ----- INFO SMART ----- >>Suku ke-n deret aritmatika --> Un = a + (n - 1)b Jumlah n suku pertama --> Sn = n/2 (2a +(n - 1)b)<< ----- RUMUS CEPAT ----- >>1. Mencari BEDA dengan cepat. U3 = 7 7 - 12 5 b = ------- = --- U5 = 12 3 - 5 2 2. Mencari U1 atau a dengan substitusi. U3 → a + 2b = 7 → a + 2(5/2) = 7 → a + 5 = 7 → a = 7 - 5 → a = 2 3. Mencari S6 atau jumlah suku ke-n yang dicari. S6 = n/2 (2a + (n - 1)b) = 6/2 (2(2) + (6 - 1)5/2) = 3 (4 + (25/2) = 3 (16,5) = 49,5 Jadi jawabannya adalah C. 49.5
Soal 6
Suku ke-n suatu deret adalah Un = 4n + 1. Jumlah sepuluh suku pertama adalah...
A. 210
B. 220
C. 230
D. 240
E. 250
Jawab :Soal 7<< ----- INFO SMART ----- >>Jika Un = an + b - maka - Sn = 1/2 an2 +(b + 1/2a)b ↓ ↓ Integral Jmlh. Koefisien<< ----- RUMUS CEPAT ----- >>jumlah = 5 ┌─˄──┐ Un = 4n + 1 ↓ Integral Sn = 2n2 + 3n └──˅───┘ jumlah = 5 S10 = 2(102) + 3(10) = 200 + 30 = 230 Jadi jawabannya adalah C. 230
Sebuah bola pingpong dijatuhkan dari ketinggian 20 meter dan memantul kembali dengan ketinggian 3/4 kali tinggi sebelumnya. Pemantulan ini berlangsung terus menerus hingga bola berhenti. Maka jumlah seluruh lintasan bola adalah... A. 130 B. 140 C. 15 D. 60 E. 80Jawab :
Mungkin itu saja informasi yang bisa saya berikan tentang Rumus Cepat Barisan dan Deret Matematika Bagian 1 semoga bermanfaat.<< ----- INFO SMART ----- >>Bola jatuh di ketinggian t , dan memantul sebesar a/b kali tinggi sebelumnya. Maka jumlah seluruh lintasan bola sampai berhenti adalah : b + a J = ────── t b - a<< ----- RUMUS CEPAT ----- >>b + a J = ────── t b - a 4 + 3 = ────── 20 4 - 3 = 140 Jadi jawabannya adalah B. 140






1 comments:
Click here for commentsTerima kasih atas rumus matematika nya..
Saya adalah pelajar yang mencari informasi tentang matematika
ConversionConversion EmoticonEmoticon